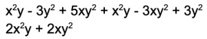
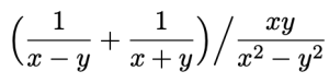
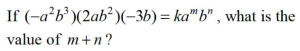
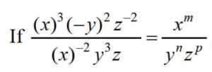
0% 0 votes, 0 avg 68 12345678910111213141516171819202122 The Digital SAT has two Math Modules, each with 35 minutes to solve 22 questions. This quiz is randomly generated to simulate a mix of modules. End of the quiz, we provide answers with the detailed explanation. Score 19+ correct to rank in the top 3% percentile. Keep practicing to improve your score. Use Desmos online calculator if you need, its allowed in the real test : https://www.desmos.com/calculator Congratulations! In SAT math, scoring all 22 questions correct yields an 800. Missing 1–2 questions results in a 780–790. Missing 3–5 questions gives a 750–780, and 6–10 wrong yields a 700–750. Refresh this page for a new random set of test questions from our extensive pool. Bookmark and retake this test to consistently reach your target score. Detailed answers are provided at the end of each quiz. Digital SAT Math Quiz This quiz randomly generates 22 questions as asked in Digital SAT Math. 1 / 22 Solve 3 5 7 9 2 / 22 If a / b = 2, what is the value of 4b/a ? 0 1 2 4 3 / 22 What is the value of m +n + p ? 3 9 12 15 4 / 22 A square field measures 10 meters by 10 meters. Ten students each mark off a randomly selected region of the field; each region is square and has side lengths of 1meter, and no two regions overlap. The students count the earth worms contained in the soil to a depth of 5 centimeters beneath the ground’s surface in each region. The results are shown in the table below. Which of the following is a reasonable approximation of the number of earth worms to a depth of 5 centimeters beneath the ground’s surface in the entire field? 150 1500 15000 150000 5 / 22 Which of the following is an equivalent form of the equation of the graph shown in the xy-plane below, from which the coordinates of vertex A can be identified as constants in the equation? y = ( x+3)( x−5) y = ( x-3)( x+5) y = x( x-2) − 15 y = ( x-1)2 − 16 6 / 22 Which of the following is equivalent to the expression below? 8xy2 - 6y2 2x2y - 2xy2 2x2y + 2xy2 4x2y2 7 / 22 The number of roof tops with solar panel installations in 5 cities is shown in the graph below. If the total number of installations is 27,500, what is an appropriate label for the vertical axis of the graph? Number of installations (in tens) Number of installations (in hundreds) Number of installations (in thousands) Number of installations (in tens of thousands) 8 / 22 Based on the histogram below, of the following, which is closest to the average (arithmetic mean) number of seeds per apple? 4 5 6 7 9 / 22 According to the system of equations below, what is the value of x ? x + y = −9 x + 2y = −25 -16 7 25 -5 10 / 22 The graph shows the relationship between the number of shares of stock from Company A, x, and the number of shares of stock from Company B, y, that Simone can purchase. Which equation could represent this relationship? y = 8x + 12 8x + 12y = 480 y = 12x + 8 12x + 8y = 480 11 / 22 A product is currently priced at $10. If it is discounted by 10%, the profit margin will be 10%. What is the cost of the product? $8.15 $8.25 $8.1 $8 12 / 22 Solve -xy/2 -2/x -2y/x2 -2y/x 13 / 22 In the figure below, line a is parallel to line b. Line c intersects both a and b with angles 1, 2, 3, 4, 5, 6, 7, and 8 as shown. Which of the following lists include all of the angles that are congruent to angle 6? angles 5, 7, 3, and 1 angles 8, 4, and 3 angles 8, 4, and 2 angles 5, 7, and 3 14 / 22 An object’s speed is 32 yards per second. What is the object’s speed, in feet per second? (1 yard = 3 feet) 90 ft/sec 92 ft/sec 96 ft/sec 98 ft/sec 15 / 22 If 4x + 2 = 12, what is the value of 2x + 1? 16 8 2 6 2x + 1 is just half of 4x + 2 so (1/2)12 = 6 16 / 22 Given x = 120 and r = 9, find the area of the sector: 3π 9π 18π 27π 17 / 22 The price of a stock is down 5% today. What percent increase would return the stock to its original price? 5.26% 5% 5.5% 5.75% 18 / 22 If a = 5√2 and 2a = √2x , what is the value of x ? 4 2 10 100 19 / 22 In a right triangle, one angle measures x°, where sin x° = 4/5. What is cos(90 - x°) ? 1/5 4/5 3/5 2/6 20 / 22 Two toy stores, A and B, sell Game Boys. The regular price at store A is 80% of the manufacturer’s suggested retail price. Store B normally does not discount at all. During Christmas season, store A discounts the product by 20% off its regular price. Store B discounts it by 40% off its regular price. Which store offers a better deal? Store A offers a better deal Store B offers a better deal Both stores offer same deal Not enough information 21 / 22 Solve: -(4/3) -4 4/3 4 22 / 22 Four pizzas are ordered for the children at a party. Each pizza is cut into 8 equal slices. Each child eats 2 slices. There are 2 slices left. How many children are at the party? Check Your score is 0% Restart quiz